NEBNext? 免疫測序試劑盒——開啟免疫組庫測序新時代
免疫組庫測序常常用來分析當下的和過去的免疫應答反應。最常應用領域包括:自身免疫性疾病的表征、腫瘤學、傳染病中和抗體的發現、腫瘤浸潤淋巴細胞以及用作研究殘留病的工具。二代測序(NGS)平臺在讀長和通量方面的最新進展促進了免疫組庫測序的發展。
NEBNext? 免疫測序試劑盒通過對 B 細胞和 T 細胞全長免疫組庫分析,能獲得體細胞的所有突變信息。該試劑盒提供引物模塊,可用于分析完整的 V、D、J 區域和 IgM、IgD、IgG、IgA、IgE 亞類,并分析 BCR 輕鏈、BCR 重鏈、TCRα 鏈和 TCRβ 鏈。該試劑盒還提供唯一分子標簽序列(UMI),將來源于同一個分子的 PCR 產物組成共有序列,以便提高測序準確性,消除 PCR 偏差。Galaxy 平臺提供一個開源軟件工具——pRESTO,用于在本地或云端開展超強生物信息分析。為了確保不熟悉 Galaxy 平臺的用戶能成功使用分析軟件,pRESTO 提供教學教程。
NEBNext? 免疫測序方法的特點
-
制備可變序列的全長信息(包括亞類信息),使僅測序 CDR3 區域不能獲得的下游抗體合成和功能信息成為可能。
-
取消可變區域引物的使用,降低了引物池的復雜度,實現了同步無偏差導出 B 細胞和 T 細胞受體轉錄本數據。
-
從相同轉錄本獲得的重復數據,組成共有序列,降低 PCR 偏差,提高測序準確性;UMIs 能夠準確定量樣本中存在的每個克隆。
-
提高免疫組庫測序的靶點捕獲效率,優化在總 RNA 中,僅占微克量的免疫組庫數據分析
抗體和 TCR 結構的簡化示意圖
免疫組建庫流程
產品優勢
-
通過對受體序列的深入分析,揭示復雜的免疫系統
-
對 B 細胞受體(BCR)和 T 細胞受體(TCR)進行富集和測序
-
制備 B 細胞和 T 細胞的全長免疫基因組庫
-
使用唯一分子標簽序列(UMI)準確定量轉錄本
-
使用用于生物信息流程(教程)的開源軟件工具——pRESTO 分析數據
NEBNext? 免疫測序試劑盒(人)部分數據展示
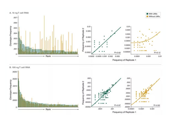
使用唯一分子標簽序列(UMI)實現克隆型的精準檢測。比較克隆型頻率:使用 10 ng 和 100 ng T 細胞總 RNA 制備人類 TCR 文庫,在有或沒有 UMI 情況下分別建庫。根據有 UMI 的測序結果,對前 100 個高表達克隆型進行排序。重復建庫,克隆型頻率重疊繪制于圖中。每個條形或圓點代表一個克隆,該克隆經過總讀長分析或使用 UMI 過濾。使用 UMI 可對原始樣本中的起始 RNA 分子進行絕對定量。當將克隆按照富集度從高到底進行排序,沒有 UMI 的數據會導致 PCR 或測序擴增的偏差,從而誤導樣本中克隆型頻率的分析。UMI 的使用通過對起始樣本中 RNA 的絕對定量來校正偏差。使用 UMI 也可以在重復本之間實現更好的相關性,尤其是起始量較低時。各個文庫向下抽樣 500,000 reads。
使用 NEBNext 免疫測序試劑盒(人),能夠在同一管中制備人 BCR 和 TCR 文庫。分別使用 1 μg、100 ng 和 10 ng 人 PBMC 總 RNA(Takara Bio #636592)制備人 BCR+TCR 文庫,每個起始量都做有平行實驗。所有文庫向下抽樣 950,000 reads。使用 pRESTO 工具完成 reads 過濾、序列組裝和基于 UMIs 組成共有序列。使用 MiGMAP 鑒別 V、D 和 J 區域。圖(A)表示每個人類 PBMC 總 RNA 起始樣本檢測到的克隆型數量。圖(B)表示各文庫中 B 細胞鏈和 T 細胞鏈所占百分比。
NEBNext? 免疫測序試劑盒(小鼠)部分數據展示
使用唯一分子標簽序列(UMI)實現克隆型的精準檢測。在有或沒有 UMI 情況下,比較小鼠 TCR 克隆型頻率。根據有 UMI 的測序結果,對前 100 個高表達克隆型進行排序。在有或沒有 UMI 情況下,重復建庫,克隆型頻率重疊繪制于圖中。每個條形或圓點代表一個克隆,該克隆經過總讀長分析或使用 UMI 過濾。使用 UMI 可對原始樣本中的起始 RNA 分子進行絕對定量。當將克隆按照富集度從高到底進行排序,沒有 UMI 的數據會導致 PCR 或測序擴增的偏差,從而誤導樣本中克隆型頻率的分析。UMI 的使用通過對起始樣本中 RNA 的絕對定量來校正偏差。使用 UMI 也可以在重復本之間實現更好的相關性,尤其是起始量較低時。各個文庫向下抽樣 500,000 reads。

使用 NEBNext 免疫測序試劑盒(小鼠),能夠在同一管中制備小鼠 BCR 和 TCR 文庫。分別使用 10 ng、100 ng 和 1,000 ng 小鼠脾臟總 RNA(Takara Bio #636605)制備小鼠 BCR+TCR 文庫,每個起始量都做有平行實驗。所有文庫向下抽樣 1,000,000 reads。使用 pRESTO 工具完成 reads 過濾、序列組裝和基于 UMIs 組成共有序列。使用 MiGMAP 鑒別 V、D 和 J 區域。圖(A)表示每個小鼠脾臟總 RNA 起始樣本檢測到的克隆型數量。圖(B)表示各文庫中 B 細胞重鏈(IGH)和輕鏈(IGK 和 IGL)以及 Tα 鏈(TRA)、β 鏈(TRB)、δ 鏈(TRD)和 γ 鏈(TRG)所占百分比。
訂購信息
|
產品名稱 |
貨號 |
規格 |
|
NEBNext? 免疫測序試劑盒(人) |
E6320S/L |
24/96 次反應 |
|
NEBNext? 免疫測序試劑盒(小鼠) |
E6330S/L |
24/96 次反應 |
- 上一篇:開學好禮,“9”想寵你~ 2021/9/8
- 下一篇:RNAscope常見問題小貼士-樣本制備篇 2021/9/8
